Sa Se Rezolve Ecuatiile Exponentiale

A cum membrul din stanga ecuatiei este pozitiv pentru orice x î r a se vedea proprietatile functiei exponentiale iar membrul din dreapta este negativ ecuatia nu are solutii.
Sa se rezolve ecuatiile exponentiale. Exercitiile alese sunt din modelele de subiecte sau din subiectele date la examenul de bacalaureat profil tehnologic mateinfo pedagogic si stiintele naturii. B utilizand afirmatia 1 se obtine x log 2 4 adica x 2. Ecuaţia exponentiala este echivalentă cu ecuaţia math formula soluţiile acestei ecuaţii exponentiale sunt şi soluţii ale ecuaţiei date. Sa se rezolve ecuatiile exponențiale din poza de mai jos.
2 1 x 2 1 2x 4. 4 x 2 x 1 3 0. C similar exemplului precedent se. C 2x 5.
Cum se rezolva ecuatiile exponentiale matepebune cu matei teodorescu. 2x my z 0. Rezolvarea unei ecuatii exponentiale duration. A cum membrul din stanga ecuatiei este pozitiv pentru orice x 2 r a se vedea proprietatile functiei exponentiale iar membrul din dreapta este negativ ecuatia nu are solutii.
Sa se rezolve ecuatiile. Iata cateva exemple de ecuatii exponentiale rezolvate din variantele de bac la matematica. A determinati multimea valorilor lui m pentru care sistemul are solutie. B 2x 4.
B utilizand afirmatia 1 se obtine x log2 4 adica x 2. Să se rezolve ecuaţiile exponentiale. Sa se rezolve ecuatiile a 2 x 4 b 2 x 4 c 2 x 5. Pentru rezolvarea unuei ecuatii in care termenii sunt matrice inclusiv necunoscuta adica o ecuatie matriceala distingem urmatoarele cazuri.
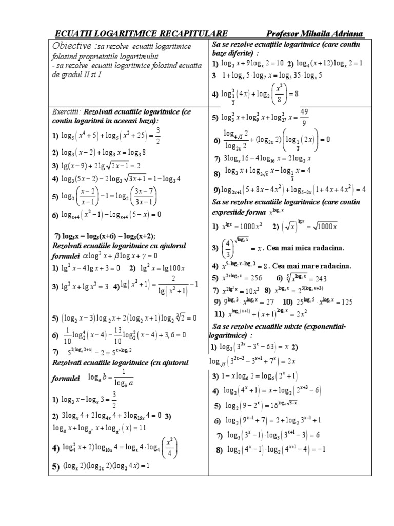
4 x 2 x 1 80. 3 4 x 2 9 x 5 6 x. Ii ecuatiile logaritmice sunt ecuatiile in care expresiile ce contin necunoscuta apar la baza sau ca argument al unor logaritmi. Se considera sistemul x 2y z 0.
Sa se rezolve in r ecuatiile. X 3y 2z 0 unde m. Ecuatia exponentiala este ecuatia in care necunoscuta se afla la exponent. Cum sa iti iei examenele sau bacul.
Folosim diverse substitutii precus si proprietatile functiilor exponentiale cautam sa o reducem la rezolvarea unei ecuatii simple de regula de gradul i sau e gradul al doilea. 2 x 1 2 x 2 x 1 14. A x b x b a 3x b x 1 3 b ax b x a 1b xa b x ba 1 axb c x a 1cb 1 pentru rezolvarea ecuatiei se foloseste cazul in care se. B sa se determine m si p m astfel incat sistemul sa fie compatibil si nedeterminat.